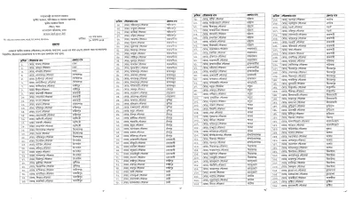
আওয়ামী সরকারের আমলে নির্বাচিত ৩২৩ পৌরসভার মেয়রকে অপসারণ করে প্রজ্ঞাপন জারি করেছে স্থানীয় সরকার বিভাগ। রোববার (১৮ আগস্ট) উপসচিব মো. মাহবুব আলম স্বাক্ষরিত এক প্রজ্ঞাপনের মাধ্যমে এ তথ্য জানানো হয়।
এতে বলা হয়, স্থানীয় সরকার (পৌরসভা) (সংশোধন) অধ্যাদেশ, ২০২৪ এর ধারা ৩২(ক) প্রয়োগ করে বাংলাদেশের নিম্নবর্ণিত পৌরসভার মেয়রগণকে নিজ নিজ পদ হতে অপসারণ করা হলো।

১৬ আগস্ট সরকারি এক তথ্য বিবরণীতে জানানো হয়, বিশেষ পরিস্থিতিতে অত্যাবশ্যক বিবেচনা করলে সরকার জনস্বার্থে কোনো সিটি করপোরেশন ও পৌরসভার মেয়র এবং কাউন্সিলরকে অপসারণ করতে পারবে। একইভাবে জেলা পরিষদের চেয়ারম্যান ও সদস্য এবং উপজেলা পরিষদের চেয়ারম্যান, ভাইস চেয়ারম্যান ও মহিলা ভাইস চেয়ারম্যানদের অপসারণ করতে পারবে। একই সঙ্গে এগুলোতে প্রশাসক নিয়োগ দিতে পারবে সরকার।

এমন বিধান রেখে ‘স্থানীয় সরকার (সিটি করপোরেশন) (সংশোধন) অধ্যাদেশ, ২০২৪ ’, ‘স্থানীয় সরকার (পৌরসভা) (সংশোধন) অধ্যাদেশ, ২০২৪ ’, ‘জেলা পরিষদ (সংশোধন) অধ্যাদেশ, ২০২৪’ ও ‘উপজেলা পরিষদ (সংশোধন) অধ্যাদেশ, ২০২৪’–এর খসড়া অনুমোদন করেছে অন্তর্বর্তী সরকারের উপদেষ্টা পরিষদ। পরদিন ১৭ আগস্ট এ সংক্রান্ত অধ্যাদেশ জারি করেন রাষ্ট্রপতি।

